Categoría: Investigación Científica y Tecnológica
Artículo original
Visitas a flores de abutilón (Abutilon pictum) (Gillies Ex Hook. & Arn) Walp. 1842, manzanilla (Matricaria recutita) (Abrams y Ferris, 1960)y ruda (Ruta graveolens)(Linneo, 1753)en un jardín del Gimnasio Campestre
Antonio Campuzano1; Martha C. Gómez2
1. Estudiante 11º-Promoción 2022 2. Directora Centro de estudios en Ecología. Gimnasio Campestre
Correspondencia para los autores: CEE@campestre.edu.co
Recibido: 8 de junio de 2022
Aceptado: 30 de septiembre de 2022

RESUMEN
ABSTRACT
Los estudios alrededor del papel que juegan los jardines de los colegios privados en el ámbito urbano en términos ecológicos y los servicios ecosistémicos que de ellos se derivan son escasos, especialmente en espacios donde las zonas verdes son insuficientes o nulas, producto de la densificación de las ciudades y la consecuente pérdida de diversidad en la ciudad. Por esta razón, se determinó el número de visitantes florales en dos arreglos de plantas en el jardín de la biblioteca del Gimnasio Campestre (colegio privado, ubicado en la localidad de Usaquén de Bogotá): el primer cuadrante conformado por abutilón de flor amarilla (Abutilon pictum) y manzanilla (Matricaria recutita) y el segundo por abutilón flor roja (Abutilon pictum) y ruda (Ruta graveolens). Las observaciones se realizaron entre el 10 y el 27 de enero del 2020, durante 10 minutos diarios (10:00-10:10 a.m.) con repeticiones cada dos (2) minutos, para un total de 60 observaciones en 12 días. El análisis de correlación Pearson estableció que no existe relación entre la cantidad de visitas y las variables ambientales. Las plantas de abutilón fueron las más visitadas y la menos visitada fue la manzanilla. Los aspectos más relevantes que explican estos hallazgos son la morfología, la cantidad de oferta floral y el color de las flores.
Palabras clave: visitantes florales, jardines urbanos, relación planta-animal.
There are but a few studies of the ecologic role and the ecosystemic services that private school gardens play in the city, particularly in areas in which Green areas are insufficient ore ven non existent. The number of floral visitors to two flower arrangements of the library garden at Gimnasio Campestre (a private school in Northern Bogotá) were studied: the first, having yellow-flowered abutilon (Abutilon pictum) and sweet chamomile (Matricaria Recutita); the second, with red-flowered abutilon (Abutilon pictum), and rue (Ruta graveolens). Observations took place between January 10 and 27, 2020, ten minutes every day (10:00 to 10:10 am), with two minute intervals for a total of 60 obervations in 12 days. The abutilon was the most visited plant and the least visited was sweet camomille. These findings are mostly explained by the morphology and the amount of flower size and colors.
Key words: floral visitors, urban gardens, plant-animal relationship.
«Los jardines urbanos son importantes para la conservación de la biodiversidad y son reconocidos como gran parte del manejo sostenible de la vida silvestre en una ciudad»



INTRODUCCIÓN
Cerca del 90% de las plantas angiospermas son visitadas por insectos (Bravo, Somarriba & Arteaga, 2010). Dentro de estos se destacan como visitantes florales los órdenes himenoptera, lepidoptera, díptera y coleóptera, entre otros (Olerton, 1999). “Los visitantes florales pueden desempeñar distintos papeles en la flor, como la polinización en el caso de las abejas polinizadoras, o no tener relación con el proceso reproductivo, por ejemplo, artrópodos herbívoros, aunque estos últimos consumen néctar o levaduras que disminuyen la concentración de azúcar” (Mazzei, Vesprini & Galetto, 2021).
Así, para que la planta sea visitada, debe tener características visuales y olfativas que promuevan la interacción planta-animal, dado que “las plantas emplean la forma, el color, la estructura, textura, el néctar y los aromas florales para su defensa y reproducción” (Conesa, et al. 2011). Conesa y colaboradores también indican que las plantas que necesitan ser visitadas por insectos producen señales visuales como flores de colores vivos o partículas químicas que son percibidas por el olfato de sus visitantes. Existen también mecanismos a nivel espacial, tales como la abundancia y la distribución de la floración, y a nivel temporal, como la época de la floración y los horarios de producción de recompensas (néctar y polen), o condiciones ambientales que favorecen o no las visitas (Galarda y Sazima, 2012). En la interacción planta-polinizador “la selección natural favorecerá aquellos rasgos morfológicos, fisiológicos o ecológicos de las plantas que sirvan para atraer a aquellos visitantes florales que polinizan más eficientemente” (Gómez, 2002).
Por otra parte, según Vélez Restrepo y Herrera Villa (2015), los jardines urbanos son importantes para la conservación de la biodiversidad y son reconocidos como gran parte del manejo sostenible de la vida silvestre en una ciudad. De hecho, existe una dependencia entre la cantidad y variedad de vegetación y el número de especies presentes en estos lugares (en Stiles, 1990, citado por Muñoz et al., 2007 p.6). Sin embargo, son pocos los estudios alrededor de la importancia de los jardines urbanos en zonas privadas como lo son los colegios; por tal razón, se desconoce el valor de estos ecosistemas en el ámbito urbano en términos ecológicos y los servicios ecosistémicos que de ellos se derivan. Eso es particularmente cierto en jardines que se destacan por la variedad de oferta floral, que atraen una amplia variedad de animales en busca de alimento y refugio y están ubicados en espacios donde las zonas verdes son cada vez más limitadas o nulas producto de la densificación de las ciudades que lleva a una pérdida importante de diversidad en la ciudad.
Además, la homogenización de los espacios verdes tanto en los espacios públicos como privados es cada día más frecuente. Este hecho convierte a los jardines y sus servicios ecosistémicos de los centros educativos en un recurso con un potencial valioso para promover la presencia de variedad de organismos, razón por la cual resulta pertinente estudiar la cantidad de visitantes de los jardines urbanos en zonas privadas y su relación con la presencia de plantas con flor. Por tanto, el objetivo de esta investigación fue determinar la cantidad de visitas en dos arreglos de plantas: Abutilon pictum (abutilón-flor amarilla), Matricaria recutita (manzanilla) y Abutilon pictum (abutilón flor-roja), Ruta graveolens (ruda), presentes en el jardín de la biblioteca Lorenzo Posada del Gimnasio Campestre (Usaquén-Bogotá) y su relación con las variables ambientales.
Se presentan las características generales de las plantas que hacen parte del estudio:
MATERIALES Y MÉTODOS
Área de estudio
El trabajo se llevó a cabo en el Gimnasio Campestre, ubicado al nororiente de la ciudad de Bogotá́ en la localidad de Usaquén (coordenadas geográficas aproximadas: N 4° 44’ 34.8”, W 74° 1’ 37.2”), en el barrio Santa Teresa, (UPZ 10: La Uribe). Cuenta con un área aproximada de 49.453,96 m2 y hace parte del corredor ecológico, que junto con el Centro de Desarrollo Comunitario Servitá, conecta estos barrios con los cerros nororientales. (Gomez, Delgado & Flores, 2018).
El colegio cuenta con zonas verdes y jardines con una homogenización estética por la presencia en todos ellos de plantas de Hiedra y tan solo tiene un pequeño jardín con plantas medicinales y ornamentales con flores, ubicado junto al lado de la biblioteca Francisco Posada Diaz (Figura 1).
Figura 1. Mapa del Gimnasio Campestre. Resaltadas en amarillo, las zonas abiertas, en azul los jardines, y en rojo el jardín de la biblioteca Francisco Posada Díaz, donde se realizó el muestreo

DISEÑO METODOLÓGICO
En el jardín de la biblioteca Francisco Posada Diaz del Gimnasio Campestre se delimitaron dos (2) cuadrantes de un (1) m2. El primer cuadrante, conformado por un abutilón de flores amarillas (Abutilon pictum) y una planta de manzanilla (Matricaria recutita); y el segundo por un abutilón de flores rojas y una planta de ruda (Ruta graveolens) (Figura 2). En cada planta se contó la cantidad de flores (23 flores en el abutilón de flor amarilla, 12 flores en la manzanilla, 21 flores en el abutilón de flor roja y 74 flores en la ruda)
Las observaciones se efectuaron entre el 10 y el 27 de enero del 2020, los días lunes, martes, miércoles y jueves, con un tiempo de muestreo de 10 minutos: desde 10:10 a.m. hasta 10:20 a.m. con repeticiones cada dos (2) minutos, para un total de 60 observaciones en 12 días. Para determinar el número de visitas, solamente se tuvieron en cuenta aquellas en donde el visitante permaneció más de cinco (5) segundos en la flor de la planta. La medición de temperatura y humedad relativa se realizó con la aplicación del clima de The Weather Channel en un celular (iPhone). Los datos fueron organizados para su análisis en tablas de Excel.
Figura 2. Posición de las plantas en el cuadrante 1. Aa= abutilón blanco; M: Manzanilla

Figura 3. Posición de las plantas en el cuadrante 2. R=Ruda; Ar=abutilón rojo


Los insectos y en especial las abejas, perciben los colores que están en las cercanías de pigmentación de ultravioleta, azul y amarillo.

ANÁLISIS ESTADÍSTICO
Con el fin de establecer si existe una homogeneidad de varianzas entre los dos cuadrantes, se realizó un test de Levene y luego un análisis de correlación de Pearson, utilizando los promedios por cuadrante para determinar la relación entre el número de visitas y las variables ambientales.
RESULTADOS
La Tabla 2 muestra las variables ambientales y el número de visitas registradas en cada ronda por día. La temperatura más baja fue de 12º C y la más alta de 18º C, con un promedio de 15,4º C. En cuanto a la humedad relativa, esta estuvo entre 51% y 58%, con un promedio de 54, 6%. Comparado con los demás días de muestreo, el día ocho (8) presentó el valor más alto, con un registro de 65%.
En cuanto al número de visitas, el primer cuadrante presentó un total de 223 visitas. En este cuadrante, el abutilón de flor amarilla registró más visitas que la manzanilla, siendo de 193 y 30 respectivamente. La menor cantidad de visitas para el abutilón de flor amarilla se presentó en el día 1 con un total de siete (7), mientras que el mismo día, la manzanilla recibió el mayor número de visitas, cinco (5). La temperatura en este día fue de 12º C, y la humedad de 51%. En el quinto y octavo día, la manzanilla no recibió visitas, y el abutilón recibió diecinueve (19) y diecisiete (17) visitas respectivamente. En el quinto día se registró una temperatura de 16º C, y una humedad relativa de 52%. En el octavo día se registró una temperatura de 18°C y una humedad relativa de 65%. El primer y el undécimo día, la manzanilla reportó el mayor número de visitas, cinco visitas (5), mientras que el abutilón recibió siete (7) el primer día y veintitrés (23) visitas el undécimo día, siendo el máximo número de visitas de esta planta. Este día se presentó una temperatura de 17° C y una humedad de 55%.
El segundo cuadrante registró un total de 257 visitas: 138 visitas para el abutilón de flor roja, y 119 visitas para la ruda. En el sexto día, el abutilón recibió seis (6) visitas, mientras que la ruda recibió 17 siendo su máximo número de visitas. Este día, se registró una temperatura de 15,8º C, y una humedad relativa de 51%. El séptimo día, el abutilón de flor roja presentó el mayor número de visitas con un total de 22, mientras que la ruda recibió 11 visitas. La temperatura en este día fue de 17º C, y la humedad de 58%. El undécimo día, la ruda reportó el menor número de visitas, seis (6), mientras que el abutilón recibió diez (10). Este día se registró una temperatura de 17º C y una humedad relativa de 55%.
En este cuadrante se observó que en cinco de los doce días los visitantes de la ruda fueron más que el abutilón.

Figura 4: diagrama de cajas. de cuadrante 1 y 2 en función del número de visitas en promedio por ronda.

La figura 4 muestra el promedio de visitas diarias por cuadrante. Se evidencia que la media de visitas en el primer cuadrante es mucho más baja que en el cuadrante 2. El resultado del test de Levene fue 0,6542, valor que es mayor a 0,05, lo que significa que no hay diferencias significativas entre las varianzas de los cuadrantes.
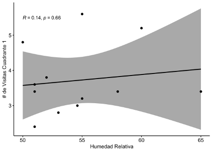
Figura 5: este gráfico muestra el número de visitas del cuadrante 1 en función de la humedad relativa.

La figura 5 muestra la relación entre las visitas en el cuadrante 1 y la humedad relativa; cada punto representa los días de muestreo. La línea en la mitad del diagrama muestra la tendencia de los valores. Al ser mayor que 0,05, se concluye que no existe correlación entre la humedad y las visitas del cuadrante 1.
Figura 6: este gráfico muestra el número de visitas del cuadrante 1 en función de temperatura en grados Celsius.

La figura 6 muestra la relación entre las visitas en el cuadrante 1 y la temperatura. A pesar de que se puede ver una tendencia directamente proporcional entre las dos variables, el valor de p= 0,069 muestra que no hay una correlación entre las dos variables.
Figura 7: este gráfico muestra el número de visitas del cuadrante 2 en función de la humedad relativa.

La figura 7 muestra la relación entre las visitas del cuadrante 2 y la humedad relativa. Este fue el único caso donde el valor de p=0,033 evidencia una correlación muy pequeña entre las dos variables, y la línea de tendencia tiene la pendiente más pronunciada de todas las gráficas.
Figura 8: este gráfico muestra el número de visitas del cuadrante 2 en función de la temperatura en grados Celsius..

La figura 8 muestra la relación entre las visitas del cuadrante 2 en función de la temperatura. A simple vista, el gráfico presenta una tendencia ascendente y una relación entre las dos variables. Sin embargo, dado el valor de p=0,097, no existe ninguna correlación entre estas dos variables.

DISCUSIÓN
Cantidad de visitas por cuadrante. Las visitas en las plantas Abutilón pictum (flor roja y amarilla), Matricaria recutita y Ruta graveolens, permite encontrar patrones de preferencia de los visitantes frente a los diferentes tipos de plantas. El abutilón fue la planta que más visitas recibió en ambos cuadrantes. De igual manera, en un estudio similar, realizado en 2013, por Diaz en un campus de la Pontificia Universidad Javeriana en Bogotá, se mostró que existe una atracción mayor al Abutilon pictum al ser la planta más visitada frente a las otras opciones.
Por otro lado, la interacción entre planta-visitante requiere algún grado de ajuste morfológico entre los dos organismos, particularmente si se trata de polinizadores.
“La forma y el tamaño de la flor pueden afectar el éxito reproductivo de una planta, ya sea influyendo sobre el comportamiento del polinizador y aumentando así el número de visitas o interactuando físicamente con el polinizador aumentando la efectividad de cada visita. La forma y el tamaño de la flor imponen restricciones a la postura del visitante con respecto a los órganos reproductivos” (Cadavid, 2004).
El Abutilon pictum tanto de flor roja como de flor amarilla, posee flores grandes, con una forma cónica que permite el fácil acceso a los visitantes de gran tamaño. Estos rasgos morfológicos de las plantas aumentan la cantidad de visitantes posibles, esto podría ser la razón por la cual presenta más visitas en comparación con las otras dos plantas. En segundo lugar, se encuentra la ruda, cuya flor se presenta morfológicamente similar a la manzanilla. Sin embargo, la mayor diferencia entre estas dos es el tamaño de la planta y la abundancia de flores que tiene la ruda “la disponibilidad de recursos florales hace que las plantas sean más atractivas” (Loyola et al., 2007).
En cuanto al color de la flor, las flores amarillas (abutilón y ruda) recibieron más visitas que las rojas (abutilón), y las menos visitadas fueron las blancas (manzanilla). Gavini y Frarji-Brener, (2015) encontraron que la tasa de visita de los polinizadores fue mayor en las flores amarillas que en las flores rojas y naranjas. Igualmente, en esta misma investigación donde se estudió la preferencia de visitas con respecto al color de las flores, se evaluó la posibilidad de la variación de visitas dependiendo de la distancia entre la planta de flores naranjas o rojas, y la planta de flores amarillas. “Cuando las flores naranjas o rojas se ubicaban a ~50 cm de distancia de las flores amarillas, su tasa de visita se reducía ~60%, mientras que cuando estaban a 100-150 cm su tasa de visita bajaba a ~10%” (Gavini y Frarji-Brener, 2015).
Por otro lado, Manzanarez-Villasana y Mandujano (2021), compararon el número de visitas de las flores naranjas y amarillas en Opuntia, una especie de cactus; las flores amarillas predominaron en atracción. Mena-Mociño y colaboradores (2016) hallaron resultados similares, al comparar la atracción de los insectos hacia los colores amarillo, azul, crema y verde; donde el color amarillo se mostró como el más atractivo de todos. Esto se debe a que los insectos y en especial las abejas, perciben los colores que están en las cercanías de pigmentación de ultravioleta, azul y amarillo.
No obstante, a pesar de la presencia de flores amarillas en la ruda, en la literatura científica se encuentra que la ruda está catalogada como planta aromática con propiedades repelentes contra insectos plagas, lo que limita las visitas posibles a esta planta a solo polinizadores; “plantas tales como ruda, menta, manzanilla, orégano, albahaca, hierbabuena, contienen terpenoides como los metabolitos secundarios, dentro de estas sustancias están las alomonas que actúan como repelentes hacia los insectos” (Garcés, 2021), y contrasta con los hallazgos de esta investigación con un total de 119 visitas (número que es cercano a la cantidad de visitas en los abutilones). Esto podría explicarse porque la ruda se encuentra cerca de un abutilón, así “en el ámbito de la polinización, existe gran evidencia de que flores menos atractivas o sin recompensa son más visitadas cuando se encuentran cerca de flores más atractivas o con recompensa” (Gavini y Frarji-Brener, 2015).
Asimismo, la manzanilla es una planta que repele insectos y a pesar de estar cerca al abutilón, en este estudio, el hecho de ser un individuo joven, pequeño y con la menor oferta floral de todas las plantas observadas, podrían ser los aspectos que explican el menor número de visitas (30), además del color de su flor.
Si bien el objetivo de esta investigación no fue determinar los visitantes florales, se identificaron principalmente colibríes, abejas y mariposas.
Variables ambientales. A partir del análisis estadístico realizado, únicamente el número de visitas del cuadrante 2 y la humedad relativa presentaron una correlación entre variables, por lo que no es posible establecer generalidades, así que no existe una relación entre las variables ambientales y el número de visitantes florales. En el estudio realizado por Sarmiento y colaboradores (2016), se observó que las variables ambientales no evidenciaron relación significativa con el comportamiento de la abeja. Sin embargo, en una investigación realizada en tres municipios del altiplano cundiboyacense colombiano, se encontró que las visitas de las abejas Apis mellifera a las plantas de agraz aumentaban cuando la temperatura era mayor (Pinilla-Gallego y Nates-Parra, 2015).

CONCLUSIONES
La preferencia de los visitantes florales entre los arreglos de plantas Abutilon pictum (abutilón-flor amarilla), Matricaria recutita (manzanilla) y Abutilon pictum (abutilón flor roja) Ruta graveolens (ruda), fue el abutilón de flor roja con la ruda con un total de 257 visitas. Al revisar la preferencia por planta, el abutilón de flor amarilla recibió la mayor cantidad de visitantes florales con 193 visitas, seguido por el abutilón de flor roja con 138 visitas, la ruda con 119 visitas y la manzanilla con 30 visitas.
Según el análisis estadístico, no existe relación entre las variables ambientales y el número de visitas.
RECOMENDACIONES
Se recomienda sembrar mayor cantidad de especies nativas, especialmente con flor amarilla, así como otras plantas ornamentales que tengan esas mismas características morfológicas en los jardines urbanos de instituciones educativas. De esta manera se podrá aportar de manera significativa para favorecer la biodiversidad en la ciudad, evitando la homogenización de plantas en los jardines.
Para llegar a una estimación más precisa donde se evidencie una correlación entre las variables ambientales y la cantidad de visitantes florales, es posible que sea necesario una ventana de muestreo más amplia a la realizada en esta investigación, con el fin de tener un análisis estadístico más robusto y preciso.
También es importante que se identifiquen los visitantes específicos, identificados taxonómicamente y así poder extraer conclusiones más amplias.
AGRADECIMIENTOS
Los autores agradecen a Juan Fernando Carrascal por su ayuda en el análisis estadístico y al Gimnasio Campestre por brindar el espacio y los recursos para la realización de este estudio.
LISTA DE REFERENCIAS
Angell I. (1899).Diary of Colonel Israel Angell: commanding the Second Rhode Island continental regiment during the American revolution, 1778-1781. Transcribed from the original manuscript by Edward Field and Norman Desmarais. Providence, R. I.: Preston and Rounds Company.
Bailey, M, Markham, D., Massai, S. and Scriven J. (1995). The 1930 August 13 ‘Brazilian Tunguska’ Event. Journal of International Meteor Organization. October 1995, vol115, pp 251-253.
Bortle, J., (1998). The bright-comet chronicles. International Comet Quaterly. Tomado de http://www.icq.eps.harvard.edu/bortle.html.
Bright Side (2022). The Mysterious Dark Day of 1938 – No Sun, No Radio Signals. Tomado de https://www.youtube.com/watch v=FHxTRsL6imU&t=301s&ab_channel=BRIGHTSIDE
Chatfield, C. (2010). The comet of 1861.The Gallery of Natural Phenomena. The earth, the sea, the sky – and beyond. Tomado de http://www.phenomena.org.uk/comets/comets/comet1861.html
Exbrayat, J. (1971). Historia de Montería. Imprenta Departamental de Córdoba, pp149.
Harris, G. (2020). The Dark Day, May 19, 1780. Historic Ipswich. Tomado de https://historicipswich.org/2020/05/15/the-dark-day-1780/
Campanella, T. (2007). Mark Well the Gloom: Shedding Light on the Great Dark Day of 1780. Environmental History, vol. 12, No. 1 (Jan., 2007), pp. 35-58.
Devens, R.M. (1878). The Wonderful Dark Day.1780. Our First Century. Great and Memorable Events. C. A. Nichols & Co., Springfield, Mass. Hugh Heron, Chicago, Ill. 1878, pp 88-96.
Fort, C. (1994). The Book of the Damned. Cosimo Inc. New York pp 276.
Hall, M. (1917). Monthly Weather Review. Volume 45. United States Department of Agriculture. January 1917, pp 366.
McMurry et al. (2007). Fire scars reveal source of New England’s 1780 Dark Day. International Journal of Wildland Fire, 2007; 16 (3): 266.
Moreno, A., Madiedo, J., Zamorano, J., Goncalves, R., Espartero, F., Trigo, J., Ortiz, J., Lacruz, J., Aceituno, E., de Guindos, E., Izquierdo J., Alonso, J., Sánchez de Miguel, A., Ocaña, F. and E. Blanch, E. (2016). Preliminary spectroscopic and dynamical analysis of an Earth-grazer fireball observed on december 24, 2014. 47th Lunar and Planetary Science Conference (2016).
Moreno, F., Barrera, S., Zitzmann, W. y Silva, J.M. (2016). Los meteoritos en la obra de Gregorio Vásquez de Arce y Ceballos. Revista El Astrolabio. Gimnasio Campestre.
Moreno F. (2010). Los meteoritos de Santa Rosa de Viterbo. Revista El Astrolabio. Vol 9 Gimnasio Campestre.
NASA (2021). P/Shoemaker-Levy 9. Solar System Exploration. Tomado de: https://solarsystem.nasa.gov/asteroids-comets-and-meteors/comets/p-shoemaker-levy-9/in-depth/.
Plummer, F. (1912). Forest fires: their causes, extent and effects. With a summary of recorded destruction and losses. United States Department of Agriculture. Forest Services Bulletin No 117.
Roche, E. (1866). Les offuscatuions du soleil et les meteores. Academie de sciences et lettres de Montpellier. Tome sexieme.
Salzedo Del Villar, P. (1987). Apuntaciones Historiales de Mompox. Gobernación del Departamento de Bolívar. Cartagena, pag. 73.
Sears D. (1978). The nature and origin of meteorites. Monographs on Astronomical Subjects: 5. AdamHilger Ltd. Bristol: 24 – 37
Shea. J. (1864). The Historical Magazine, and Notes and Queries, Concerning the Antiquities, History and Biography of America, Vol. 8, pag 61.
Sigurdsson, H., Houghton, B., Rymer, H., Stix, J., McNutt S. (1999). Encyclopedia of Volcanoes. Academic Press.
Tenney, S. (1792). Dr. Tenney’s letter on the dark day, May 19, 1780. Collections of the Massachusetts Historical Society for the year 1792. Boston, volume 1, pp 95-98.
Viator. (1785). New England’s dark day a witness account. Continental Journal del 25 de mayo de 1780.
Williams, S. (1785). An Account of a very uncommon Darkness in the States of New-
Inglaterra, 19 de mayo de 1780. Memorias de la Academia Estadounidense de las Artes y las Ciencias, 1783, vol. 1 (Boston: Adams y Nourse, 1785), 235
Zurcher and Margollé. (1870). Meteors and Atmospheric Phenomena. N. Y.
















